球擊中球拍上甜點的感覺,不禁讓我唱起:
“球愛我呀我愛球”...
大家在打網球或者羽毛球時有沒有感受到
擊球點不同時手感上的不同呢?
今天我們的實驗就和甜點有關:
(你以為是小蛋糕嗎?呵!天真,一天天的就想著吃)
不規范的科普:“甜點”在高爾夫球類運動中是一種專業術語,意為最佳擊球位置,其實就反映了桿的重心所在~
實驗器材
所標杯、鋼尺、支架、橡皮泥(非必需)
首先將支架固定好
將橫梁放在較低位置
使鋼尺下落撞擊橫梁
可以看到環型支架會向內彈

移動橫梁到較高位置
鋼尺撞擊橫梁時
環型支架會向外彈

將橫梁移動到適當位置
距離鋼尺底部1/3處
鋼尺撞擊橫梁時
環型支架紋絲不動

PS. 大家可以嘗試用筷子和積木拼出支架哦~

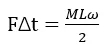
我們假設繞O點下落的均勻鋼尺于A點撞擊橫梁時角速度為ω,

此時鋼尺的動量為:

又已知均勻鋼尺圍繞一端的轉動慣量為:

可得此時的角動量為:

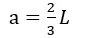
設OA的長度為a,撞擊時橫梁對鋼尺產生了
的沖量,
則橫梁對鋼尺產生的沖量矩(角沖量)為:

實際上在考慮(角)沖量-動量關系時,在端點O處也可能會產生向左或向右的支持力。而這個均勻鋼尺的甜點就是能讓撞擊時O點受到的水平方向的沖量為零的特殊點。
我們聯立等式:


可以得到:

也因此在剛剛的實驗中,在橫梁位于鋼尺下方三分之一的位置時,固定鋼尺的架子紋絲不動。順著這個思路,大家可以思考一下改變橫梁的位置A時,O點會受到多大的水平沖量呢?
(提示:以質心為原點計算O、A兩個沖量的沖量矩。)
在接下來的實驗中,我們通過給鋼尺粘上橡皮泥改變了它的質量分布,同時影響到了整個體系的質量密度與轉動慣量密度的分布,也便改變了甜點的位置。

像高爾夫球桿質量聚集于桿頭的部分,甜點就會在桿頭的擊球區上,而棒球的球棒質量分布相比之下更均勻,因此最佳擊球點離棒尾仍有一定距離。
當然咯,實際的最佳擊球點還需要考慮球的最大離開速度以及球拍/球棒材質等問題,不過通過質量分布分析出來的甜點是個不錯的估計 ~
如果大家在家中沒有找到合適的架子或者帶孔且質量與形狀合適的物體,也可以用筷子或者筆在手上體會體會,盡量只提供旋轉來敲打物體,體會敲擊點不同時手指受到的不同感覺的力。

學會了這個,以后敲人小腦瓜的時候就更輕松了(手動滑稽)
下一篇:為什么汽水喝在嘴里是辣的?